Маркант
вернуться

Масленников Михаил

Шрифт:

Для любой подстановки ? из S256 можно определить ее так называемую матрицу частот P(?) размера 255 х 255, у которой на пересечении строки с номером i со столбцом с номером j, i,j ? {1,2,…,255}, находится число решений системы

x – y = i (mod 256)

?(x) – ?(y) = j (mod 256)

относительно неизвестных x, y ? Z/256.

В НИР «Проба» показали, что множество (G?)3 является 2-транзитивным тогда и только тогда, когда возведенная в квадрат матрица P(?) не содержит нулевых элементов. Чуть позже было доказано, что при случайном и равновероятном выборе ? в матрице P(?) примерно 2/3 элементов – ненулевые, 1/3 – нули.

Темой моей дипломной работы в 1979 году было построение и анализ матриц P(?) для всех ? из симметрической группы S8. Это 8! = 40320 подстановок. Такое построение позволяло подтвердить приведенные выше теоретические результаты.

Для Руты – 110, если она к тому времени была еще жива (сейчас точно не помню), это явно непосильная задача, матрицы строились вручную. Все теоретические результаты были подтверждены.

Ангстрем – 3

После изучения в НИР «Проба» математического аппарата для шифров на новой элементной базе естественно встал вопрос о построении простейшего примера такого шифра.

Здесь мне хотелось бы сказать несколько слов о том, кто тогда, на рубеже 80-х годов прошлого века, занимался в СССР криптографией и шифрами.

Специалистов-криптографов готовили только на 4 факультете ВКШ. Их отбирали и направляли на учебу 3 ведомства: КГБ, Министерство обороны и НИИ Автоматики. После окончания 4 факультета выпускники направлялись на службу в то ведомство, которое их набирало на учебу. Выпускники от КГБ и МО становились действующими офицерами, хотя военную форму в КГБ не носили, а выпускники от НИИ Автоматики – офицерами запаса, не получающими льгот и выплат, положенных действующим офицерам, хотя во время учебы на 4 факультете были военнослужащими и ходили в военной форме. В прошлом НИИ Автоматики – спецтюрьма № 16 МВД СССР, в 1948 году преобразована в спецтюрьму № 1 МГБ СССР, эта спецтюрьма известна по роману А.И.Соженицына «В круге первом».

Разработкой новых советских шифров должно было заниматься НИИ Автоматики, а Спецуправление 8 ГУ КГБ СССР – проводить их экспертизу. В реальной жизни разработка и экспертиза тесно переплетались и превращались в совместную работу криптографов, закончивших 4 факультет.

После окончания 4 факультета в 1979 году я попал на работу в 5 (Теоретический) отдел Спецуправления 8 ГУ КГБ СССР. Там тогда тоже интересовались шифрами на новой элементной базе, поддерживали тесные связи с НИИ Автоматики. В группе Валерия Владимировича Ященко, в которую я попал, вели следующий, если так можно выразиться, «анализ идеи» построения шифра на новой элементной базе с помощью неавтономного регулярного регистра сдвига над Z/256, которую принесли в 5 отдел Владимир Владимирович Седов и Борис Владимирович Березин из НИИ Автоматики.

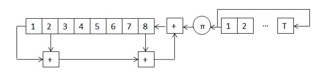
Рис. 2. Шифратор «Ангстрем – 3»

В этой идее самое привлекательное – простота ее реализации. В НИИ Автоматики, по-видимому, поддерживали связи с заводом «Ангстрем» в Зеленограде, который в то время являлся ведущим предприятием по выпуску советской электроники. В.В.Седов и Б.В.Березин заканчивали 4 факультет, знали о НИР «Проба» и пытались перейти от чисто абстрактных математических результатов к конкретным шифраторам. Изображенный выше неавтономный регулярный регистр сдвига над Z/256 получил название шифратор «Ангстрем – 3». Слово «Ангстрем», по-видимому, предполагало, что он будет реализован на элементной базе завода Ангстрем, а цифра 3 – что это была не первая такая попытка.

Я подробно описывал в КиС, как мне удалось взломать «Ангстрем – 3» при T = 16 и как к этому отнеслись мои новые начальники. «Ангстрем – 3» взламывался на спор, я этот спор выиграл и получил за это прибавку к жалованию. Дальше, естественно, встал вопрос: а как можно модифицировать «Ангстрем – 3» так, чтобы сделать его стойким и сохранить простоту реализации?

Первая и самая необходимая модернизация – переставить подстановку.

Рис. 3. Шифратор «Ангстрем – 3 М»

Почему использование подстановки ? до, а не после операции сложения с функцией обратной связи более целесообразно? Давайте немного окунемся в математику и в проведенный в 5 отделе СУ 8 ГУ КГБ СССР «анализ идеи» шифратора «Ангстрем – 3». Я неспроста употребил здесь такой странный термин, как «анализ идеи». Сам шифратор может строиться по-разному, это может быть блочный шифр (простая замена большой степени), а может быть шифр гаммирования. Но анализ в любом случае проводится в следующих предположениях.

Ключом является входное слово (последовательность байт) x1,x2,…,xT, записанное в правом регистре;

Цикл работы состоит из T тактов, за каждый такт состояние левого регистра сдвигается на одну ячейку влево и в крайнюю правую ячейку добавляется функция обратной связи, зависящая от состояния и очередного байта ключа;

Подстановка ? – известна;

Известны несколько начальных и соответствующих им конечных состояний левого регистра.

При таких предположениях ставится задача: определить неизвестный ключ, т.е. входное слово x1,x2,…,xT.

  • Читать дальше
  • 1
  • 2
  • 3
  • 4
  • 5
  • 6
  • 7
  • 8
  • ...

Private-Bookers - русскоязычная библиотека для чтения онлайн. Здесь удобно открывать книги с телефона и ПК, возвращаться к сохраненной странице и держать любимые произведения под рукой. Материалы добавляются пользователями; если считаете, что ваши права нарушены, воспользуйтесь формой обратной связи.

Полезные ссылки

  • Моя полка

Контакты

  • chitat.ebooker@gmail.com

Подпишитесь на рассылку: