1. каталог Private-Bookers
  2. Образование и наука
  3. Книга "Эволюция пустоты"
Эволюция пустоты
Читать

Эволюция пустоты

Жеуров Александр

Образование и наука

:

научно-популярная литература

.
Уважаемый читатель! Добро пожаловать в мир моих мыслей. Их прочтение позволит Вам по новому взглянуть на возникновение физического и метафизического Мира.

Предисловие

Что случилось? Да ничего, всё хорошо. Просто ни черта не видит у себя под носом, какая-то странная фундаментальная близорукость, которая к тому же исключает наличие дальнозоркости или скажем прямо дальновидности и как результат просто слепая, не видит очевидных вещей, ещё и глуховата, не слышит слов разума, только собственное бормотание по большей части мало кому понятное. И куда в таком состоянии можно уйти? Да только в дебри, так называемую сингулярность. А что же, как же, как это, как это, а она заразна!? Конечно! Ведь она же учит наших детей, давая им в числе прочих и неверные знания, толкуя ошибочные догмы, совершенно не занимаясь поиском истины и исправлением ошибок. Попробуем поставить диагноз. Что же вызывает такую слепоту и глухоту? Очевидно, не правильно выбранная приоритетная цель, извлечение экономического эффекта вместо поиска истины и раскрытия тайн, отсюда и неправильно поставленные задачи, т.е. стремление не к исследованию непознанного, а к извлечению прибыли. Можно ли вылечить сию болезнь? Конечно можно, поменять цель, только и всего. Но кто же сможет заставить её проглотить эту горькую пилюлю1?

1. Комментарий: Сегодня, впрочем, как и вчера, академическое сообщество, соорудив рецензионный барьер, отвечает молодым, пытливым умам, что не нужно доставать вопросами, на которые нет ответов и не надо навязывать своё видение ответов на них, а нужно следовать устоявшимся догмам, иначе, учебный процесс может быть прерван. Таким образом, сохраняется консервативное мышление в научной среде, делая её не способной к восприятию идей, противоречащих её постулатам.

Точка отсчёта 2020

Стремление человечества к познанию истоков мироздания привело его из пещеры к понятию элементарной частицы. На этом пути получены огромные знания во всех областях современной науки, но до сих пор нет ответа на главный вопрос, каким образом возможно возникновение физических объектов в бесконечной пустоте.

Давайте поразмышляем на эту тему и попытаемся ответить на этот вопрос, используя современные знания и представления в необходимых для этого областях науки. Пройдём путь от простых понятий пространства и времени, стремящихся от нуля в сторону бесконечности через наше измерение, а также попробуем ответить на вопрос кто же мы во Вселенной и в чём наше предназначение.

Если значения слов не известны или они наполнены иным смыслом, для окружающих Вас, то они воспринимаются ими, как звуки или каракули, а может быть имеют совсем другой смысл, чем тот который бы Вы хотели в них вложить. Поэтому дадим свои определения пространству и времени, а так же другим понятиям которыми будем оперировать в наших рассуждениях, чтобы термины были наполнены одинаковым для всех значением, иначе не возможно будет сформулировать принципы в понятной форме, а именно они должны позволить получить представление обо всех явлениях, происходящих в пространстве и его свойствах.

Чем же будет для нас пространство? Я полагаю – это объективно, постоянно существующая бесконечная пустота, являющаяся всеобъемлющей величиной.

Ну а, время – это бесконечная величина измерения, позволяющая измерить пространство, а точнее его изменения.

Чтобы пустота стала для нас осязаемой, давайте интегрируем в неё трёхмерную систему координат, и мы сразу получаем о ней представление в виде многомерного массива координат, для нас она становится пространством с определёнными значениями в каждой его точке. Так же стоит отметить, что каждая точка пространства имеет своё уникальное значение в виде координаты, а рассматривая координатный массив в целом, можно выделить, например наличие единичных, десятичных или же порядковых измерений, меньшие из которых являются составной частью больших, это нам пригодится при рассмотрении характеристик пространства.

И так мы получили статичное пространство. Теперь разместим в нём сопряжённую с первой трёхмерную систему координат времени, характеристикой которого является изменение его значения в поступательном направлении. Теперь мы можем наблюдать, что время постоянно изменяется относительно пространства, а исходя из теории относительности, и пространство изменяется относительно времени, т.е. оно динамично. Эти изменения неразрывно связаны, т.е. если меняется измерение пространства, то соответственно меняется измерение времени. Поэтому мы можем утверждать, что одним из основных критериев свойств пространства будет плотность его измерения (плотность пространства) и она будет пропорциональна потенциалу (потенциальной энергии) данной области или же точки пространства.

Наверно теперь мы можем понять, что же заставляет пространство изменяться? Какие силы могут возникнуть в бесконечной пустоте?

Очевидно, это будут силы, стремящиеся к выравниванию значений, потенциальной энергии или же плотности измерения пространства.

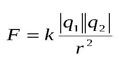
В качестве примера, возникновение векторов сил можно подтвердить Законом Кулона – основным законом электростатики. Сила взаимодействия двух точечных неподвижных заряженных тел в вакууме прямо пропорциональна произведению модулей заряда, от нас добавим (соответствующих потенциалу точки или области пространства) и обратно пропорциональна квадрату расстояния между ними. Когда тела считаются точечными? – если расстояние между ними во много раз больше размеров тел.

Ну! Вот и подошли мы к основному вопросу. Как образуется физический объект в бесконечной пустоте?

Для простоты понимания принципа образования рассмотрим это в примитивном виде.

Интегрировав систему координат в бесконечную пустоту, мы поняли, что каждая точка пространства имеет своё значение в виде координаты, и оно не может повториться, поскольку уникально. Поэтому, например, расставляя даже ближайшие неповторяющиеся значения в окружности, разделённой на 4 сектора 1,2,3,4, мы получим два смежных сектора со значением 1 и 4. В этой части стремление к выравниванию значения будет сильнее, чем в других частях окружности, поскольку разнится между значениями будет наибольшей. Соответственно вектор силы будет большим и движение должно начаться именно с точки имеющей наибольшую разницу значений потенциала или же плотности пространства.

  • Читать дальше
  • 1
  • 2
  • 3

Без серии

Эволюция пустоты

Private-Bookers - русскоязычная библиотека для чтения онлайн. Здесь удобно открывать книги с телефона и ПК, возвращаться к сохраненной странице и держать любимые произведения под рукой. Материалы добавляются пользователями; если считаете, что ваши права нарушены, воспользуйтесь формой обратной связи.

Полезные ссылки

  • Моя полка

Контакты

  • chitat.ebooker@gmail.com

Подпишитесь на рассылку: