Мир математики. т.4. Когда прямые искривляются. Неевклидовы геометрии
вернуться

Гомес Жуан

Шрифт:

Проблема заключается в том, что мысленно мы моделируем наше путешествие геометрически идеальным образом, представляя наш путь в виде почти прямой линии. Однако реальность вовсе не является геометрически идеальной. Наши расчеты нарушают не только неисправные светофоры или разгружающие товары грузовики. Дело еще и в том, что блоки городских зданий не образуют идеальных квадратов, а улицы не пересекаются под идеально прямыми углами… Означает ли это, что невозможно найти оптимальную дорогу, чтобы утром добраться до работы?

* * *

ИЛЬДЕФОНСО СЕРДА (1815–1876)

Известный главным образом как инженер и архитектор, Ильдефонсо Серда обладал многими талантами, занимаясь также экономикой, правом и политикой. Его реформа городского планирования в Барселоне в XIX в., получившая название «План Серда», изменила лицо города, в результате чего появился один из самых впечатляющих районов — Эшампле. По-каталонски (I’Eixample) или по-испански (el Ensanche) это означает «расширение». Улицы Эшампле образуют прямоугольные кварталы, пересекаясь на равных расстояниях друг от друга.

Вид с воздуха на район Эшампле в Барселоне.

* * *

Заколдованные улицы

Как и следовало ожидать, реальность никогда не бывает геометрически идеальной, иначе бы мир был очень скучным, представляя из себя утомительные повторения упорядоченных форм. Однако рациональность и упорядоченность являются важными критериями, которые необходимо учитывать на практике, например, в городском планировании. По вполне разумным причинам улицы многих современных городов образуют квадратные блоки. Одним из первых примеров такого городского планирования был район Эшампле в испанском городе Барселоне, детище архитектора Ильдефонсо Серда. Этот район послужит идеальным вводным примером к нашей теме.

Представьте, что вы находитесь в районе Эшампле и хотите попасть из точки А в точку В. Если каждый городской квартал считать за единицу пути, то каким будет в этих единицах расстояние между точками А и В?

Глядя на этот рисунок, можно представить треугольник с гипотенузой (прямая линия между точками А и В) и двумя другими сторонами (вдоль улиц от одной точки к другой). Тогда длина одной стороны составит 4 единицы, а другой — 2.

Применяя теорему Пифагора (а2  = Ь2 + с2), мы можем найти длину гипотенузы: (42 + 22) = 20 = 4,47 единиц. Если нам нужно рассчитать время в пути, то очевидно, что это расстояние обманчиво, потому что мы не можем передвигаться из одной точки в другую по прямой линии. Реальное расстояние будет суммой двух других сторон треугольника, то есть 6 единиц.

Мы могли бы попробовать различные другие маршруты, чтобы найти наименьшее расстояние. Вариантов множество. Мы можем двигаться по вертикали и по горизонтали, поворачивая на первую улицу, а затем на вторую, или сделать поворот через две улицы и так далее. Однако общее расстояние всегда будет 6 единиц.

На следующем рисунке изображены различные маршруты между точками А и В. Всего имеется 15 возможностей.

Выходит, что фактический маршрут вовсе не является прямой линией. Здесь появляется другое понятие расстояния, которое называется расстоянием такси. Это понятие нелинейного расстояния лежит в основе геометрии такси.

* * *

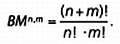
ВОЗМОЖНЫЕ МАРШРУТЫ

Формула, выражающая количество всех возможных маршрутов для n вертикальных и m горизонтальных движений, выглядит следующим образом:

Здесь n! означает факториал числа n, который равен n ·(n– 1)·(n– 2)·…·2·1. Например, 5! = 5–4 — 3–2 — 1 = 120. В нашем примере формула записывается так:

возможных маршрутов.

* * *

Расстояние такси

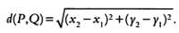
Расстояние, которое изучается в школе, является евклидовым расстоянием. Оно находится по теореме Пифагора, поэтому расстояние между двумя точками Р и Q с координатами Р = (x1, y1) и Q = (x2, у2) выражается следующей формулой:

В отличие от евклидова расстояния, минимальное расстояние в городе с прямоугольной сеткой улиц считается как dT(P, Q) = |x2 — x1| + |y2 — y1|

* * *

АБСОЛЮТНОЕ ЗНАЧЕНИЕ

Выражение |А| означает «абсолютное значение числа А», которое получается путем игнорирования знака числа. Если число А положительно, то |А| = А, а если число А отрицательно, то |А| = — А, например, |-5| = 5.

  • Читать дальше
  • 1
  • 2
  • 3
  • 4
  • 5
  • 6
  • 7
  • ...

Private-Bookers - русскоязычная библиотека для чтения онлайн. Здесь удобно открывать книги с телефона и ПК, возвращаться к сохраненной странице и держать любимые произведения под рукой. Материалы добавляются пользователями; если считаете, что ваши права нарушены, воспользуйтесь формой обратной связи.

Полезные ссылки

  • Моя полка

Контакты

  • chitat.ebooker@gmail.com

Подпишитесь на рассылку: